| | Studying seeding date and rate | Research findings | Seeding date results | Seeding date results | Conclusions
Irrigation farmers strive for optimum crop production. The timeliness of seeding is one of the most important agronomic practices for achieving high yields of cereal and oilseed crops under irrigation. As well, increased seeding rates can be useful for ensuring higher yields under irrigated conditions.
Studying Seeding Date and Rate
From 2006 to 2009, two sites in southern Alberta were at the centre of a study to determine the optimum seeding date and rates for achieving high yields and quality of 11 cereal and oilseed crops. These crops were either typical for irrigated production in southern Alberta or had the potential for increased adoption due to high productivity or value. See the crops and cultivars used in the four-year study in Table 1.
Table 1. Crop types and cultivars used in the study
| Crop name | Class or use | Cultivar |
| CWRS wheat | CWRS (Canada Western Red Spring) | 5602 HR |
| Durum | CWAD (Canada Western Amber Durum) | Morse |
| SWS wheat | CWSWS (Canada Western Soft White Spring) | AC Andrew |
| CPS wheat | CPSR (Canada Prairie Spring Red) | 5700 PR or 5701 PR |
| Feed barley | Feed grain | Ponoka or Vivar |
| Feed triticale | Feed grain | AC Ultima or Bunker |
| Malt barley | Malting (2-row) | CDC Copeland |
| Barley silage | Silage | Vivar |
| Triticale silage | Silage | AC Ultima or Bunker |
| Canola | Oilseed (hybrid cultivar) | 5020 or RR 71 - 45 |
| Flax | Oilseed | McDuff or Flanders |
All 11 crops were seeded on 4 dates each spring with the first seeding date in the second or third week of April, depending on weather and soil conditions. Subsequent seeding dates were to be 10 to 14 days apart, depending on weather conditions, with the final seeding date in the last week of May in all years, with one exception. In 2007, inclement weather delayed the final seeding date until early June.
Crops were seeded at 5 rates from 9 to 48 seeds/ft2 (100 to 500 seeds/m2) for cereal crops, 7 to 26 seeds/ft2 (75 to 275 seeds/m2) for canola and 18 to 56 seeds/ft2 (200 to 600 seeds/m2) for flax. Seeding rates were adjusted for seed size and per cent germination.
Research Findings
Weather conditions during the four years of this study were generally within the normal range for southern Alberta. The years 2006 and 2007 were warmer than average, with more days above 30 °C during June and July than average. In 2008 and 2009, temperatures were cooler than average. The growing season precipitation ranged from 54 to 138 per cent of the long-term average.
Seeding Date Results
Crop establishment
Overall, seeding date did not strongly affect plant establishment. Plant establishment (plants/ m2) tended to decline slightly as seeding date was delayed.
Lodging
This factor was not consistently affected by seeding date. Durum, SWS wheat, CPS wheat, triticale and flax had little or no lodging at any seeding date. Lodging of CWRS wheat was severe at the second and third seeding dates in 2006 and was greater at the third and fourth seeding dates at Bow Island in 2009, but was otherwise minimal.
Lodging of barley occurred in most trials, but was generally unaffected by seeding date in 2006 and 2008, decreased with later seeding in 2007, and increased with later seeding in 2009. Lodging of canola only occurred at Lethbridge in 2006 and 2009, and increased with later seeding, particularly in 2009. Overall, lodging tended to be a greater problem at later versus early seeding dates.
Yield
Seeding date significantly affected the yield of all crops (Figure 1). Crop yields generally were not significantly different between the first two seeding dates in April, but they were lower at the third and fourth seeding date for most crops. Analysis showed that crop yields declined by 0.6 per cent to 1.7 per cent per day after April 30 (Figure 1 and Table 2) for the 11 crops. The calculated daily per cent crop yield decline for each day seeding is delayed after April 30 is summarized in Table 2.

Figure 1. Effect of seeding date on yield for 11 crops at 2 irrigated sites in southern Alberta from 2006 to 2009. Values are the means from each site-year. Declines are in per cent per day after April 30 (Date 0 on the x axis).
Table 2. Approximate crop yield decline for each day seeding date is delayed after May 1
| Crop | Yield decline/day |
| Barley - malt | 1.20% |
| Barley - grain | 1.3 |
| Barley - silage | 1 |
| Triticale - grain | 0.8 |
| Triticale - silage | 1.1 |
| Wheat – hard red spring | 0.8 |
| Wheat - soft white spring | 0.9 |
| Wheat - CPS | 1 |
| Wheat - durum | 1.3 |
| Canola | 1.7 |
| Flax | 0.6 |
Canola yields were the most sensitive to delayed seeding, while flax yields were the least sensitive. Among cereals, durum and feed barley yields were the most sensitive to seeding date (1.3% yield decline per day), while CWRS wheat and feed triticale yields were the least sensitive (0.8% yield decline per day).
Yield decline
A number of factors contribute to the strong yield decline when seeding is delayed:
- Available solar radiation (sunlight) is greater for early seeded over late-seeded crops because an effective crop canopy is active for a longer period and during periods with higher daily solar radiation.
- Earlier seeding increases yield potential due to increased tillering of cereal crops or increased pod formation of oilseed crops.
- Canola yields are considerably reduced by temperatures greater than 30 °C during flowering, while cereal yields are also reduced by higher temperatures during reproductive growth. High maximum temperatures during the summer of 2007 contributed to the large reductions in yield with later seeding (Figure 1).
- Early seeded crops tend to be more competitive with weeds.
- Fungal foliar diseases tend to be less severe for early seeded crops. Based on visual monitoring, foliar diseases were more prevalent in late-seeded treatments (e.g. stripe rust on cereal crops).
- Insect infestations also tend to be less severe for early seeded crops.
- Crops tend to use water more efficiently when seeded earlier versus later.
Crop quality
Seeding date can affect crop quality. Delays in seeding date increased the grain protein concentration of wheat crops, but did not affect test weight. High protein concentrations are desired for CWRS and durum wheat, but low protein concentrations are desired for SWS wheat and malt barley.
Seeding dates had little effect on the quality of feed grains; the only effect was a higher test weight of feed barley at the second seeding date and higher protein concentrations at the fourth seeding date.
To achieve malting grade, 2-row barley cultivars must have 80 per cent plump kernels, 3 per cent thin kernels and protein concentrations of 10.0 to 12.5 per cent. These parameters were within an acceptable range at all seeding dates in this study, but were generally poorer with later seeding. Malt barley quality often declines with later seeding.
Seeding date did not affect silage quality in this study due to the minimal effect on protein concentration and digestibility. Canola quality was reduced at the fourth seeding date due to a lower oil concentration and higher chlorophyll content. The oil concentration of flax was also slightly reduced at the last seeding date. Canola oil concentrations tended to decline with later seeding.
Seeding priorities
Producer decisions regarding the order for seeding crops depend on an assessment of economics, risk and logistics. Canola was the most susceptible to yield and quality penalties from late seeding, but it is also much more susceptible to frost than cereal crops and may not be insurable if planted early. Canola is not the best crop to seed first in years with the opportunity of very early seeding in April, but should have high priority for seeding as the date approaches May 1.
When seeding dates are delayed beyond normal, crops such as CWRS wheat and flax would have less yield loss when compared with other cereal and oilseed crops. Early maturing cultivars may also be beneficial if seeding is delayed beyond normal. Having information on the relative sensitivity of various crops and cultivars to seeding date can assist producers with decisions regarding when and what to plant.
Seeding Rate Results
Crop establishment
The plant population level increased linearly as the seeding rate increased for all crops. However, the proportion of seeds producing a plant declined for a number of crops, particularly barley and triticale.
Yield
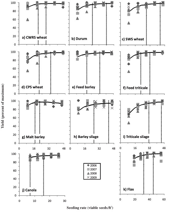
Crop yield at the lowest seeding rate was significantlyless than the maximum yield for all crops, ranging from70 per cent of maximum yield for triticale silage to95 per cent of maximum yield for feed barley (Figure 2).
Crops with the greatest decline in yield at the lowest seeding rate, particularly SWS wheat and triticale, required higher seeding rates to attain optimum yields. Several crops were relatively insensitive to seeding rate over the rates included in this study (for example, feed barley, canola).
It was interesting to note that crop yields did not increase significantly at the highest seeding rates. Crop yields were generally close to maximum over a broad range of seeding rates (Figure 2).
For each crop in Figure 2, the economic seeding rate range is shown. The low end of the optimum seeding range was sufficient for maximum yields for all crops, but slight improvements in yield, economic return and weed suppression can be obtained at the high end of the optimum seeding range.
Other production factors, such as seeding logistics and weed suppression, may be more important and should be taken into consideration in deciding on optimum seeding rate.

Figure 2. Effect of seeding rate on yield for 11 crops at 2 irrigated sites in southern Alberta from 2006 to 2009. Values are the means from each site-year. Dotted lines indicate economic optimum seeding rates to provide a return of 4 (lower value) or 1 (higher value) for last dollar spent on seed.
Calculating seeding rates
The seeding rates required for the maximum yield of durum and CPS wheat were intermediate between CWRS and SWS wheat in this study. Compared to CWRS wheat, barley had a lower seed requirement, while triticale had a considerably higher seed requirement. Generally, barley cultivars have a great ability to tiller versus triticale.
Canola yields were relatively insensitive to seeding rate, with economic optimum seeding rates of 7 to 16 seeds/ft2 (80 to 170 seeds/m2) achieving 4 to 7 plants/ ft2 (40 to70 plants/m2). Current Canola Council of Canada guidelines recommend the establishment of 4 to19 plants/ft2(40 to 200 plants/m2). Maximum flaxyields were obtained with approximately 47 seeds/ft(500 seeds/m2).
Based on Figure 2, the guidelines in Table 3 are suggested for optimum seeding rates (seeds/m2 and seeds/ft2). The seeding rates in pounds/acre for each crop, provided in Table 3, are calculated for the lowest and highest optimum seed/ft2 rate.
Table 3. Recommended plant population range for each crop in seeds/m2 and seeds/ft2. The seeding rate in pounds/acre is the approximate seeding rate at the lowest and highest end of the recommended seeding range
 | Optimum seeding range |
 | Seeds/m2 | Seeds/ft2 | lb/ac |
| Malt barley | 180 - 250 | 17 - 24 | 85 - 130 |
| Feed barley | 200 - 350 | 19 - 33 | 100 - 195 |
| Barley silage | 300 - 450 | 28 - 42 | 150 - 250 |
| Triticale grain | 250 - 350 | 24 - 33 | 115 - 175 |
| Triticale silage | 400 - 500 | 37 - 47 | 175 - 250 |
| CW red spring wheat | 200 - 300 | 19 - 28 | 80 - 125 |
| Soft white spring wheat | 300 - 450 | 28 - 42 | 115 - 190 |
| CPS wheat | 250 - 400 | 24 - 37 | 110 - 185 |
| Durum | 275 - 425 | 26 - 40 | 125 - 205 |
| Canola | 175 - 275 | 16 - 26 | 6 |
| Flax | 500 | 47 | 45 |
The seeding rates in pounds per acre in Table 3 are an approximate guideline. To accurately determine the seeding rate in pounds per acre, use the Alberta Agriculture and Rural Development seeding rate calculator on the web site at: http://www.agric.gov.ab.ca/app19/loadSeedRateCalc
Select the crop and variety, and then enter the desired plants/ft2, seed germination (%), emergence mortalityrate (%), seeder row spacing and 1000 kernel weight in grams. The calculator will then determine the pounds/acre of seed required.
Quality
The effects of seeding rate on crop quality were generally small. Test weights were significantly lower at the lowest seeding rate for wheat and feed triticale, but were unaffected by seeding rate for feed or malt barley. Grain protein concentration declined gradually with the increased seeding rate for all cereal crops.
The quality parameters for malting barley were generally within an acceptable range except that protein concentration tended to be too low at high seeding rates. The digestibility of barley silage was slightly lower at the lowest seeding rate than at the highest seeding rates.
Canola quality was slightly reduced at the lowest seeding rate due to increased chlorophyll concentration. The oil concentration of canola and flax was not significantly affected by seeding rate.
Conclusions
The crop production of all cereal and oilseed crops evaluated in this study benefited from seeding in April compared to seeding in later May or June. In addition,the yield penalty from late seeding was greater for some crops than others: canola > feed or malt barley,durum triticale or barley silage CPS or SWSwheat feed triticale, CWRS wheat flax.
Crop quality deteriorated with delayed seeding for some crops, particularly canola, malt barley and SWS wheat, but was unaffected or even slightly improved for other crops.
Seeding rate had a smaller effect on crop yield or quality than seeding date, although lower yields were consistently obtained at the lowest seeding rates evaluated. Triticale and SWS wheat required considerably higher seeding rates for high yields than other cereal crops.
Early seeding and sufficient seeding rates are two very important factors for achieving high crop yields under irrigation in southern Alberta.
Prepared by
Ross H. McKenzie, Eric Bremer, Allan Middleton,Pat Pfiffner and Shelley WoodsAlberta Agriculture and Rural Development
For more information, contact
Ross H. McKenzie PhD, P. Ag.
Phone: 403-381-5842
For detailed information on the results of thisresearch study, refer to
McKenzie, R.H., Bremer, E., Middleton, A.B., Pfiffner, P.G. and Woods, S.A. 2011. Effect of seeding date and rate for irrigated grain and oilseed crops in southern Alberta. Canadian Journal of Plant Science 91:293-303.
Acknowledgements
This study was one of five experiments conducted as part of the research study titled: Optimizing Water Use, Nitrogen Use and Agronomic Practices for Irrigated Grain and Oilseed Crop Production in Alberta. The researchers involved in the study kindly acknowledge Alberta Agriculture and Rural Development, Alberta Crop Industry Development Fund, Alberta Barley Commission and Agrium for funding this research project.
Further information
Alberta Ag-Info Centre
Call toll free 310-FARM (3276)
Source: Agdex 100/561-2. May 2011. |
|